
Pescara. Saranno 14.382 i pescaresi che saranno richiamati alle urne l’8 e il 9 marzo prossimi per la ripetizione delle elezioni comunali del 2024, come sentenziato dal Consiglio di Stato.
Sulle 170 totali, sono 23 le sezioni in cui si voterà, quelle in cui sono state riscontrate irregolarità per la tornata elettorale del maggio 2024.
A scontrarsi, da avversari principali, l’attuale sindaco di centrodestra Carlo Masci e il centrosinistra guidato da Carlo Costantini.
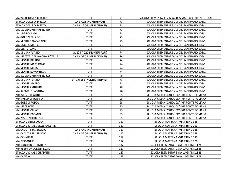
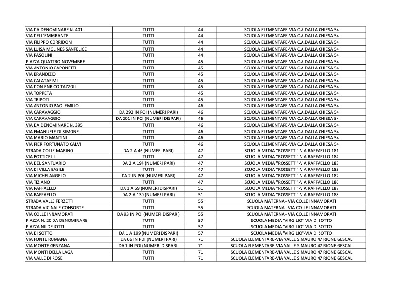
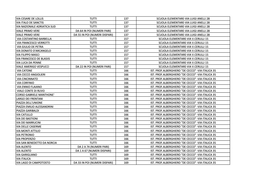
Gli elettori ricompresi nelle sezioni richiamate a votare sono quelli residenti alla vie e ai civici riportati nella gallery, dove sono indicati anche i seggi elettorali.








